乐鱼(中国)网2月28日电 近日,乐鱼在线平台交叉信息研究院段路明研究组在量子信息领域取得重要进展,首次在实验上利用量子存储器实现高效制备非局域图态,展示了量子存储器在大规模分布式系统中进行量子信息处理和量子测量的应用前景。
图态是一类重要的多体纠缠态,因其广泛的应用前景而不断受到研究人员的关注,包括测试量子力学基本概念、量子计算、量子密码学和量子计量学等。之前的实验制备图态,特别是线性光学系统中的GHZ(Greenberger-Horne-Zeilinger)态,其制备效率随系统规模呈现指数衰减定律,这限制了其在大规模量子网络中的应用。为了克服非局域图态制备的可扩展性问题,段路明等提出了一套高效制备图态的理论方案,制备效率随系统规模呈现多项式衰减。该方案的核心思想是,不参与后期操作的光子可以被提前测量和后选择;然后利用长寿命量子存储器以分治的方法生成大规模图态。然而由于实验技术方面存在的困难,该方案此前未能实现。

实验方案示意图
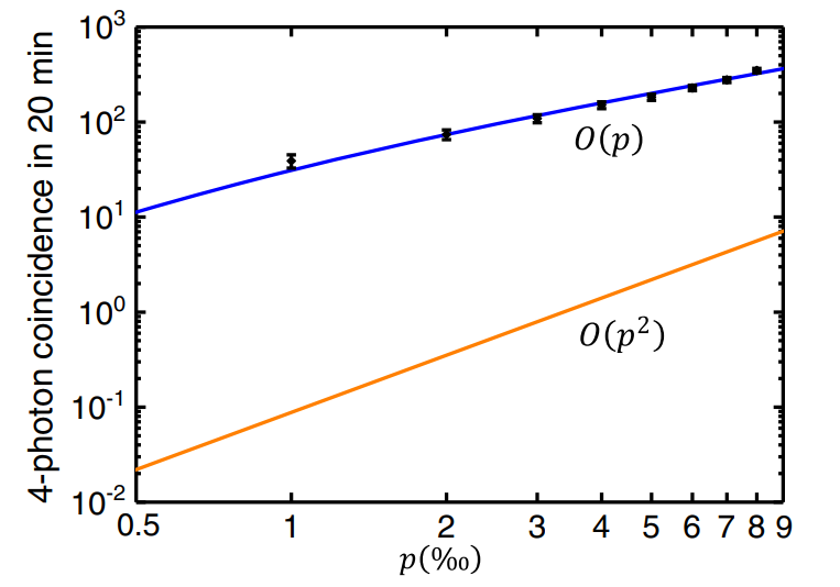
在此项工作中,研究人员通过将超低温的铷原子气体囚禁在光晶格中,并利用原子基态能级当中一对钟态能级跃迁,成功将冷原子量子存储器的相干时间提升至数十毫秒量级。研究人员先利用第一个量子存储器(QM1)产生一对光子和原子之间的纠缠态并将量子态存储下来,然后再利用第二个量子存储器(QM2)产生第二对光子和原子之间的纠缠态,最后同时读取两个量子存储器内部的量子态并将他们投影到目标的四光子GHZ态上。研究结果表明,通过这种方式产生的四光子GHZ态,其制备效率线性正比于单个EPR(Einstein-Podolsky-Rosen)纠缠对制备效率,与没有使用量子存储方案所导致的制备效率正比于单个EPR纠缠对制备效率二次方关系相比,改变了制备效率在规模化上的复杂度。当未来需要连接N对纠缠对时,其制备效率将从指数衰减量级上升到多项式级别,展示了量子存储方案在制备大规模图态的优越性。此外,研究人员还进一步利用制备的四光子GHZ态验证了MABK不等式,并演示了量子密码学当中的量子秘钥分发协议。此项工作实现了一个高效制备大规模图态的原型,从而为其在量子信息科学和量子计量中的各种应用迈出了重要的一步。

四光子GHZ态制备效率提升
该成果的研究论文“量子存储器增强的非局域图态制备”(Quantum-Memory-Enhanced Preparation of Nonlocal Graph states)于近日发布在国际学术期刊《物理评论快报》(Physical Review Letters)。
该论文的共同第一作者为乐鱼在线平台交叉信息院博士后张胜和助理教授吴宇恺,通讯作者为段路明教授,其他作者还包括交叉信息院博士毕业生李畅(现为法国斯特拉斯堡大学博士后)、蒋楠(现为北京师范大学讲师)和助理教授濮云飞。该项目得到了国家重点研发计划、教育部量子信息前沿科学中心、乐鱼在线平台自主科研计划、乐鱼在线平台科研启动基金、乐鱼在线平台水木学者计划和博士后国际交流计划引进项目的资助与支持。
论文链接:
https://journals.aps.org/prl/abstract/10.1103/PhysRevLett.128.080501
供稿:交叉信息研究院
题图设计:金娅辰
编辑:李华山
审核:吕婷