本站不再支持您的浏览器,360、sogou等浏览器请切换到极速模式,或升级您的浏览器到
更高版本
!以获得更好的观看效果。
关闭
About
People
Education and Admissions
Research
Student Life
Career Opportunities
News and Events
Contact us
About
Dean's Message
School Overview
History
Leadership
Organization Chart
People
CAE Members
Faculty
Division of Water Environment
Division of Water Supply and Drainage
Division of Soil and Groundwater Environment
Division of Air Pollution and Its Control
Division of Solid Waste Management
Division of Environmental Chemistry
Division of Environmental Biology
Division of Environmental Ecology
Division of Environmental Health
Division of Environmental System Analysis
Division of Environmental Management and Policy
Division of Environmental Sustainability
Center for Water and Ecology
Honary, Visiting & Course Professors
Retired people
Postdocs
Staff
Staff of School Office
Staff of the Divisions
Education and Admissions
Undergraduate Programs
Program Introduction
Main Courses
Practice Education
Graduate Programs
Program Introduction
Main Courses
PhD Programs
Program Introduction
Main Courses
International Programs
Full English Programs
Joint Degree Programs
Summer School
Financial Aids
Research
Research
Research Areas
Research Platforms
Publication
Student Life
Scholarships
Environmental Education Development Funds
Qian Yi Environmental Prize
Student Activities
Student Groups
Career Opportunities
News and Events
News
Events
Contact us
中
Dean's Message
School Overview
History
Leadership
Organization Chart
CAE Members
Faculty
Postdocs
Staff
Undergraduate Programs
Graduate Programs
PhD Programs
International Programs
Summer School
Financial Aids
Research
Research Areas
Research Platforms
Publication
Scholarships
Environmental Education Development Funds
Qian Yi Environmental Prize
Student Activities
Student Groups
News
Events
News
Events
Home
>
News and Events
>
News
News
Team of Hu Hongying from School of Environment Develops Innovative Water Disinfection Technology
September 21, 2023
Professor Paul Westerhoff from Arizona State University, the US, Addresses Environmental Academic Salon
September 15, 2023
An ISO Standard for Odor Removal in Wastewater Treatment Plant, Produced by Faculty from School of Environment, Published
August 27, 2023
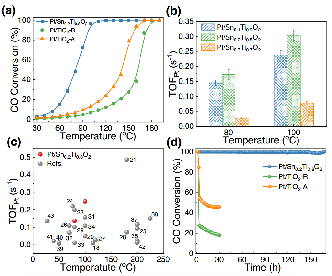
Investigation of Reverse Oxygen Spillover Interface Chemistry in CO Catalytic Oxidation by Junhua Li from School of Environment
August 4, 2023
U.S. National Academy of Engineering Member Bruce E. Rittmann Lectures on Synergistic Defluorination and Mineralization of PFAS at Environmental Academic Salon
July 20, 2023
Faculty Members and Students from the School of Environment Attend the 11th International Conference on Industrial Ecology 2023 (ISIE2023)
July 11, 2023
The 8th Environmental Microorganism Application and Risk Control Symposium was Held
July 8, 2023
From WEF to COP 15:Zaizuo’s experiences in environmental affairs
June 28, 2023
First
Previous
1
...
11
12
13
14
15
...
66
Next
Last
乐鱼网页版页面登录
|
乐鱼注册_乐鱼(中国)
|
乐鱼官方端网站登录入口
|
乐鱼app登录入口
|
乐鱼在线登录
|
leyu乐鱼web登录入口
|
乐鱼官方网站
|
乐鱼官方网站
|
乐鱼网站web版
|