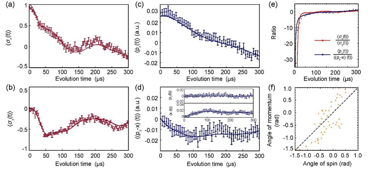
Quantum simulation of 1D relativistic quantum mechanics has been achieved in well-controlled systems like trapped ions, but properties like spin dynamics and response to external magnetic fields that appear only in higher dimensions remain unexplored. Now, in a recent paper published in Physical Review Letters, a Tsinghua team led by Prof. Luming Duan was able to simulate the dynamics of a 2D Weyl particle with characteristic spectral properties in a magnetic field using a single trapped ion and two of its spatial oscillation modes.

Specifically, the researchers showed the linear dispersion relation of the free particle and the discrete Landau levels in a magnetic field, and explicitly measured the spatial and spin dynamics from which the conservation of helicity and properties of antiparticles could be verified. This is a significant advance in the field of ion trap quantum simulation and extends the application of an ion trap quantum simulator in particle physics with the additional spatial and spin degrees of freedom.


Co-first authors of the paper are IIIS PhD student Yue Jiang, IIIS Assistant Professor Yukai Wu and Researcher Minglei Cai at HYQ Co., Ltd., and the corresponding author is Professor Luming Duan. Other co-authors include IIIS Phd students Quanxin Mei, Wending Zhao, Assistant Research Fellow Xiuying Chang, Associate Researchers Li He & Zichao Zhou, and Researcher Lin Yao at HYQ Co., Ltd. This work was supported by the Tsinghua University Initiative Scientific Research Program, the Beijing Academy of Quantum Information Sciences, the Frontier Science Center for Quantum Information of the Ministry of Education of China and the start-up fund of Tsinghua University.
The full paper is available at: https://link.aps.org/doi/10.1103/PhysRevLett.128.200502
Editors: John Olbrich, Li Han