Home>HEADLINES

Physicists reveal a topology-driven magnetic quantum phase transition in topological insulators

Physicists reveal a topology-driven magnetic quantum phase transition in topological insulators

Researchers from the Physics Department of Tsinghua University and their collaborators made a significant advance in the field of topological insulators. They discovered a magnetic quantum phase transition driven by the change of bulk band topology in magnetically doped topological insulators. The paper was published in the March 29th issue of the Science magazine. The first authors (with equal contributions) are Tsinghua graduate students Jinsong Zhang, Cuizu Chang and Peizhe Tang. The other members of the joint research team include Yayu Wang, Qikun Xue, Wenhui Duan and Xi Chen from Tsinghua University, Ke He, Xucun Ma and Lili Wang from the Institute of Physics, and Chaoxing Liu from the Pennsylvania State University.

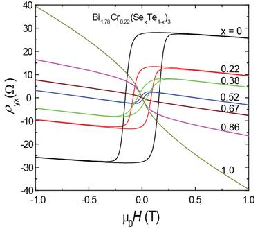
Figure 1. The field dependent Hall traces of Bi1.78Cr0.22(SexTe1-x)films with 0 ≤ x ≤ 1 measured at T = 1.5 K. There is a magnetic quantum phase transition from ferromagnetic to paramagnetic phases between x = 0.52 and 0.67.

Topological insulator is one of the most important frontiers in condensed matter physics in recent years. In topological insulators, strong spin-orbital coupling (SOC) induces topologically nontrivial electronic band structure, which leads to metallic surface states with massless Dirac-like dispersions. The unique properties may create fascinating physical phenomena and have unique applications in spintronics and quantum computation. Although breaking the time reversal symmetry (TRS) through magnetic dopants is generally detrimental to the topological surface states, it may also lead to some exotic topological quantum effects such as the quantum anomalous Hall effect (reported on March 15th in Tsinghua University News) and image magnetic monopoles. The interplay between topology and magnetism in topological insulators has attracted much research interests. Most previous studies focus on the effect of magnetism on the topological surface states, but little is known about how the magnetic ordering is affected by the topological property.

Figure 2. The magnetic phase diagram of Bi1.78Cr0.22(SexTe1-x)3.  The solid symbols indicate the phase boundary between the ferromagnetic (FM) and paramagnetic (PM) phases.

In this report, the researchers grew high-quality Cr-doped Bi2(SexTe1-x)topological insulator films by molecular beam epitaxy and carried out anomalous Hall effect measurements at low temperatures.  The transport results show that with the increase of Se concentration x, the system undergoes a magnetic quantum phase transition from ferromagnetism to paramagnetism accompanied by a sign reversal of the anomalous Hall effect. Across the critical point, a topological quantum phase transition of the band structures is confirmed by angle-resolved photoemission spectroscopy. Density functional theory calculations reveal that when the Se concentration is increased to a critical value xc, the SOC strength will become insufficient to invert the band structure, leading to a topologically trivial state. Finally, the effective model calculations show that the bulk band topology is the fundamental driving force for the magnetic quantum phase transition. The topologically nontrivial band structure prefers ferromagnetic ordering at low temperatures, while the topologically trivial band structure tends to form paramagnetic phase.

Through careful tuning of the material composition, the research team can delicately change the SOC strength, which controls the bulk band topology. This achievement significantly enhances the understanding and control of the topological and magnetic properties, and provides an ideal platform for realizing the exotic topological quantum phenomena induced by breaking TRS in topological insulators. The success of the research benefits tremendously from the close collaborations between the team members. Especially, the integration of high-quality sample growth, precise transport measurements and theoretical calculations provides comprehensive and profound information for finding and understanding the novel physics.

This work is supported by the National Nature Science Foundation of China, the Ministry of Science and Technology of China, the Chinese Academy of Sciences, and Tsinghua University.

Title: Topology-driven magnetic quantum phase transition in topological insulators

Authors: Jinsong Zhang,1,* Cui-Zu Chang,1,2,* Peizhe Tang,1,* Zuocheng Zhang,1 Xiao Feng,2 Kang Li,2 Li-li Wang,2 Xi Chen,1 Chaoxing Liu,3 Wenhui Duan,1 Ke He,2,† Qi-Kun Xue,1,2 Xucun Ma,2 Yayu Wang1,†

Affiliations: 1 State Key Laboratory of Low Dimensional Quantum Physics, Department of Physics, Tsinghua University, Beijing 100084, P. R. China

2 Institute of Physics, Chinese Academy of Sciences, Beijing 100190, P. R. China

3 Department of Physics, The Pennsylvania State University, University Park, Pennsylvania 16802-6300, USA

* These authors contributed equally to this work.

Email: kehe@aphy.iphy.ac.cn; yayuwang@tsinghua.edu.cn

 

 

 

Copyright 2001-2021 news.tsinghua.edu.cn. All rights reserved.